Vai al contenuto
Melius Club

I CD sono "emaciati e scadenti", superati nel suono dalle tracce equivalenti in streaming? Lo dice Stereophile!


Messaggi raccomandati

3 ore fa, Titian ha scritto:

Oltre a questo, resta aperta una domanda: a quale soglia una preferenza statistica diventa “oggettività”

Credo che superato il 67% statisticamente si possa iniziare a parlare di oggettività.

3 ore fa, Titian ha scritto:

Questo potrebbe anche indicare non tanto che siamo nel “meglio oggettivo”, ma che manca un criterio chiaro per distinguere

Non credo manchi il criterio, credo che ad un certo punto non sia possibile il miglioramento.  Credo, anzi sono abbastanza sicuro, che ad un certo livello la scelta definitiva sia impossibile. Anche solo per la enorme differenza nelle incisioni. 

3 ore fa, Titian ha scritto:

nella pratica nel mondo hi-fi si continua spesso a parlare di "grandi" miglioramenti anche a livelli molto alti:

Cosa ovviamente falsa, grandi miglioramenti non esistono nemmeno tra livelli alti e medi. 

In particolare se l'ambiente rimane quello, la registrazione la stessa, quelli sono due limiti insuperabili. Basta ascoltare una eccellente registrazione su un baracchino ed una pessima sul top dei top. Suona meglio il baracchino.

Fondamentalmente credo comunque tu abbia capito il mio punto di vista. Poi chiamiamolo meglio relativo, meglio oggettivo, meglio statistico, esiste un meglio che lo è per molti anche se non unico. Tra dieci meglio potremmo scegliere diversamente per chissà quale motivo ma sempre un meglio oggettivo si sta scegliendo. Quello che non esiste e non può esistere è un meglio assoluto. 

 

2 ore fa, ascoltoebasta ha scritto:

dimostra lo studio più importante,le decine di migliaia di appassionati,tra cui musicisti professionisti,ingegneri del suono,persone con grande esperienza di concerti,etc,che operano le proprie scelte preferendo suoni con caratteristiche diverse.

Questo dimostra solo che il meglio oggettivo non sanno  dove abita. Ed è così, in 50 anni di meglio oggettivo ne avrò sentiti forse ma proprio forse 3. In periodi diversi e quindi riferiti a quei periodi. L'oggettivo di 30 anni fa non può essere quello attuale. 

37 minuti fa, grisulea ha scritto:

Credo che superato il 67% statisticamente si possa iniziare a parlare di oggettività.

I valori tipo 68% (1 sigma) riguardano la distribuzione dei dati, non il consenso o l’oggettività. Non sono soglie che trasformano una preferenza in un fatto oggettivo.

extermination

-Un suono riprodotto è oggettivamente migliore di un altro quando presenta una serie di parametri tecnici, definiti e riconosciuti dalla fisica elettrica, elettronica, elettroacustica ed acustica migliori dell’altro; problema - tra due sistemi messi a confronto, difficile - o se preferite non facile- che l’uno vinca sull’altro su tutti i parametri ( elettrico- elettronici elettroacustici- acustici)!
-Un suono oggettivamente migliore di un altro può essere e/o non essere riconosciuto tale dalla maggioranza degli ascoltatori.

- Un suono considerato migliore da un’ampia maggioranza di ascoltatori, rimane un giudizio soggettivo- o se volete non assume un significato oggettivo-fosse anche dato dal 90% di un panel di esperti piuttosto che da casalinghe di Voghera.

- limitarsi a dire “lo preferisco” all’altro senza scomporre il suono in attributi percettivi valutati singolarmente,

lascia il tempo che trova.

- correlare parametri fisici oggettivi con attributi percettivi di un suono non è cosa semplice posto che si può passare da un’alta correlazione ad una bassa correlazione, caso per caso.

dimenticavo: si trovano in circolazione CD che su determinati attributi percettivi si fanno preferire su sistemi oggettivamente con parametri meno performanti di altri sistemi. 

  • Melius 1
1 ora fa, extermination ha scritto:

Un suono riprodotto è oggettivamente migliore di un altro quando presenta una serie di parametri tecnici, definiti e riconosciuti dalla fisica elettrica, elettronica, elettroacustica ed acustica migliori dell’altro; problema - tra due sistemi messi a confronto, difficile - o se preferite non facile- che l’uno vinca sull’altro su tutti i parametri ( elettrico- elettronici elettroacustici- acustici)!

 

 

Sono d’accordo sul fatto che esistano parametri tecnici ben definiti e misurabili. Se però si vuole parlare davvero di “meglio oggettivo” in senso completo, il problema diventa rapidamente più complesso.

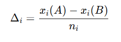
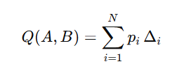
In prima approssimazione si potrebbe immaginare qualcosa di molto semplice: prendere i diversi parametri i (distorsione, risposta in frequenza, ecc.), assegnare a ciascuno un peso p(i) e sommare le differenze tra due sistemi A e B:

image.png.06227d5a978350ec5094650438734478.png

dove Δi  rappresenta quanto A è migliore o peggiore di B su quel parametro.

Già qui però nasce un primo problema: i parametri hanno scale diverse (percentuali, dB, millisecondi…), quindi le differenze non sono direttamente confrontabili. Serve quindi una normalizzazione:

image.png.ce40e2fc26e367dd273912989573042b.png

 

Ma non basta. Alcuni parametri migliorano aumentando, altri diminuendo, quindi anche la direzione del miglioramento va gestita. Il punto più critico arriva quando si considera che le variazioni non hanno effetti lineari: passare da una distorsione dell’1% allo 0.1% può essere molto rilevante, mentre da 0.01% a 0.001% può essere praticamente irrilevante. Questo significa che non si può sommare semplicemente Δi, ma bisogna introdurre una funzione che descriva l’impatto reale della variazione:

image.png.161644e13b38a37f6ea28ba3e99651ee.png

A questo si aggiunge un ulteriore aspetto: molti parametri hanno soglie sotto le quali non sono percepibili e zone in cui saturano. Di conseguenza la funzione deve tener conto non solo della differenza, ma anche del contesto:

image.png.064aa7c64d4c59c73c6796cf94a5a853.png

dove g(i) incorpora direzione, soglie, non linearità e saturazione.

A questo punto il problema diventa evidente: per usare davvero una formulazione del genere bisognerebbe sapere quali parametri includere, quale peso p(i)assegnare a ciascuno e quali funzioni g(i) utilizzare. Ed è proprio qui che, secondo me, il concetto di “meglio oggettivo” svanisce nel nulla: questi elementi non sono noti in modo completo e, soprattutto, non possono essere definiti in modo oggettivo e universale.

In altre parole, descriviamo bene i singoli parametri, ma non abbiamo un criterio non arbitrario per combinarli in un unico giudizio complessivo. Ed è lì che il passaggio da “parametri migliori” a “sistema oggettivamente migliore” diventa illusione. PS: qui ho sicuramente dimenticato altri fattori tecnici che complicherebbero di più il calcolo.

 

 

 

 

 

extermination
9 minuti fa, Titian ha scritto:

Sono d’accordo sul fatto che esistano parametri tecnici ben definiti e misurabili. Se però si vuole parlare davvero di “meglio oggettivo” in senso completo, il problema diventa rapidamente più complesso.

Va da sé! L’avevo già detto in precedenza. C’è gente che tende a semplificare cose conplesse

1 ora fa, extermination ha scritto:

Un suono considerato migliore da un’ampia maggioranza di ascoltatori, rimane un giudizio soggettivo- o se volete non assume un significato oggettivo-fosse anche dato dal 90% di un panel di esperti piuttosto che da casalinghe di Voghera.

Con questo presupposto il termine "oggettivo" non ha senso di esistere. Se il giudizio della ampia maggioranza correla con migliore misura direi invece che il termine abbia ragione di essere. Ma si tratta di condividere i termini. Voi parlate in termini assoluti, non oggettivi. L'assoluto, inutile discutere, non esiste. Ma nemmeno per se stessi, oggi piace una cosa, domani un'altra. 

 

6 minuti fa, Titian ha scritto:

In altre parole, descriviamo bene i singoli parametri, ma non abbiamo un criterio non arbitrario per combinarli in un unico giudizio complessivo

Hai complicato troppo la faccenda. Semplicemente si è fatto ascoltare tranquillamente, senza limiti di tempo. Migliaia di test su cui esprime un voto. La preferenza coincide con la migliore misura (ovviamente acustica, quella si sente) per l'86%. Il restante 14% non ha scelto casualmente o l'ultimo in classifica. Se non erro di norma il secondo o giù di lì. Se non è oggettivo cos'é? ll test evidenzia inoltre che alla vista il parere cambia velocemente. Ad esempio un sistema economico ma non il peggiore in blind, finisce ultimo appena viene visto. Eppure al solo ascolto non lo era. Oppure ad esempio la posizione in ambiente viene valutata con variazione importanti dello stesso diffusore in blind, quasi irrilevante alla vista. La correlazione c'è, purtroppo il test dimostra anche che non si sceglie solo con le orecchie. Altro che ascolta e basta. Metti un brutto affare sconosciuto in un impianto e pure suonasse appena meglio verrebbe ritenuto peggiore. 

 

"Nelle versioni dei test in cui i partecipanti potevano vedere, non si riscontrano tali cambiamenti. Ancora una volta, sembra che gli ascoltatori si fossero già fatti un'opinione basata su ciò che avevano visto e non fossero disposti a cambiare idea, anche se il suono lo richiedeva. L'effetto non è sottile. Riassumendo, è chiaro che conoscere l'identità in prova può modificare le valutazioni soggettive. ■ Possono modificare le valutazioni per farle corrispondere alle presunte capacità del prodotto, in base al prezzo, alle dimensioni o alla reputazione. ■ Il legame tra la qualità del suono "percepita" e l'identità del prodotto è così forte che, nei test in cui i partecipanti potevano vedere, questi hanno sostanzialmente ignorato i problemi facilmente udibili associati alla posizione degli altoparlanti nella stanza e alle interazioni con i diversi programmi." 

 

ilmisuratore
37 minuti fa, Titian ha scritto:

 

 

Sono d’accordo sul fatto che esistano parametri tecnici ben definiti e misurabili. Se però si vuole parlare davvero di “meglio oggettivo” in senso completo, il problema diventa rapidamente più complesso.

In prima approssimazione si potrebbe immaginare qualcosa di molto semplice: prendere i diversi parametri i (distorsione, risposta in frequenza, ecc.), assegnare a ciascuno un peso p(i) e sommare le differenze tra due sistemi A e B:

image.png.06227d5a978350ec5094650438734478.png

dove Δi  rappresenta quanto A è migliore o peggiore di B su quel parametro.

Già qui però nasce un primo problema: i parametri hanno scale diverse (percentuali, dB, millisecondi…), quindi le differenze non sono direttamente confrontabili. Serve quindi una normalizzazione:

image.png.ce40e2fc26e367dd273912989573042b.png

 

Ma non basta. Alcuni parametri migliorano aumentando, altri diminuendo, quindi anche la direzione del miglioramento va gestita. Il punto più critico arriva quando si considera che le variazioni non hanno effetti lineari: passare da una distorsione dell’1% allo 0.1% può essere molto rilevante, mentre da 0.01% a 0.001% può essere praticamente irrilevante. Questo significa che non si può sommare semplicemente Δi, ma bisogna introdurre una funzione che descriva l’impatto reale della variazione:

image.png.161644e13b38a37f6ea28ba3e99651ee.png

A questo si aggiunge un ulteriore aspetto: molti parametri hanno soglie sotto le quali non sono percepibili e zone in cui saturano. Di conseguenza la funzione deve tener conto non solo della differenza, ma anche del contesto:

image.png.064aa7c64d4c59c73c6796cf94a5a853.png

dove g(i) incorpora direzione, soglie, non linearità e saturazione.

A questo punto il problema diventa evidente: per usare davvero una formulazione del genere bisognerebbe sapere quali parametri includere, quale peso p(i)assegnare a ciascuno e quali funzioni g(i) utilizzare. Ed è proprio qui che, secondo me, il concetto di “meglio oggettivo” svanisce nel nulla: questi elementi non sono noti in modo completo e, soprattutto, non possono essere definiti in modo oggettivo e universale.

In altre parole, descriviamo bene i singoli parametri, ma non abbiamo un criterio non arbitrario per combinarli in un unico giudizio complessivo. Ed è lì che il passaggio da “parametri migliori” a “sistema oggettivamente migliore” diventa illusione. PS: qui ho sicuramente dimenticato altri fattori tecnici che complicherebbero di più il calcolo.

 

 

 

 

 

Le soglie JND e JDD sono state definite

Che sia complessa la questione non ci piove...ma non da schematizzarla precisamente con dei numeri assegnati...che in tema di udibilità si manifestano delle tolleranze

Nel tempo questa faccenda l'ho studiata e sperimentata con attenzione

Un setup audio quando riproduce musica (in generale segnali complessi) non produce distorsione armonica in "evidenza" ma rumore correlato e scorrelato con ampiezza che maschera i livelli di armonici prodotti a banda stretta...o al massimo dei pattern di intermodulazione 

Questa soglia di rumore è stata fissata in circa -70 dB (valore efficace) che corrisponde su una FFT a 64k a -115,15 dB

A questi livelli si raggiunge la soglia potenzialmente udibile piu bassa 

Non è detto che tutti vi riescano...ma alcuni si

Nel raggiungere la soglia piu bassa e poterla distinguere la sensibilità tra individui e risoluzione dell'impianto fa la differenza

L'ascolto in cuffia (per lo scopo d'indagine) offre qualcosa in piu rispetto la riproduzione dai diffusori in ambiente

In cuffia c'è una possibilità di isolare meglio il rumore...e l'ascolto è piu "intimo" e chirurgico

Quanto descritto sopra riguarda le alterazioni di tipo non lineare...la distorsione...anche se sottoforma di rumore correlato e scorrelato

Per le alterazioni di tipo lineare (ad esempio la risposta in frequenza) 0,3 dB /0,5 dB se circoscritti in un area in cui la sensibilità è molto alta (tra 1500 hz e 4500 hz) sono anch'essi potenzialmente udibili...e non solo...a volte anche preferibili o meno 

In generale i difetti di tipo acustico sono parecchio piu invadenti di ciò che provocano le elettroniche

loureediano

Ho saltato le ultime 8 pagine, tanto alla fine si ripetono sempre le stesse cose.

Però una cosa la voglio dire: come fa una misurazione della risposta in frequenza fatta con microfono e software necessario a non essere attendibile?

Che la correzione tramite software della risposta in frequenza possa essere deleteria per motivi a me sconosciuti, lo capisco

Ma come diavolo si fa a sostenere che misurare un impianto in ambiente per capire come suona la stanza sia inutile non lo capisco, io credo sia indispensabile 

Fosse mio il forum non non consentirei nessuna discussione su qualsiasi componente se non correlata da misurazione della risposta in frequenza prima e dopo.

  • Melius 1
  • Thanks 1
extermination

Prendiamo un paradosso:

un diffusore con una risposta flat (in anecoica) ed altrettanto flat nel punto di ascolto ( no smothing ) è tecnicamente perfetta sulla carta - peccato poi che quella rif, per ragioni note, tende a non essere preferita - o sgradita- dalla maggior parte di ascoltatori. Anche sulla risposta nel dominio del tempo dell’accoppiata diffusori - ambiente le preferenze all’ascolto possono presentare divergenze, anche diverse centinaia di ms ( insomma non poca roba). Solo per fare due banali esempi. Ma la questione, come ripetuto, è assai più complessa- anche solo restando nei confini della tecnica ( es. la perfezione - non perfezione delle misure -adeguatezza delle misure- senza entrare nel perimetro dei meccanismi percettivi

ilmisuratore
6 minuti fa, extermination ha scritto:

Prendiamo un paradosso:

un diffusore con una risposta flat (in anecoica) ed altrettanto flat nel punto di ascolto ( no smothing ) è tecnicamente perfetta sulla carta - peccato poi che quella rif, per ragioni note, tende a non essere preferita - o sgradita- dalla maggior parte di ascoltatori. Anche sulla risposta nel dominio del tempo dell’accoppita diffusori - ambiente le preferenze all’ascolto possono presentare divergenze anche di un qualche centinaio di ms ( insomma non poca roba).

...il flat "no smoothing" in ambiente tenendo conto dell'inviluppo dei picchi a confronto del fiat in anecoica, tenendo conto altrettanto dei picchi dell'inviluppo con andamento regolare non danno percettivamente informazioni troppo dissimili a livello di equilibrio tonale 

In anecoica però rientrano altri fattori legati alla grande differenza che può scaturire dai tempi di riverbero e come vengono annullate le riflessioni 

Potrebbe cambiare la ricostruzione scenica come il decadimento armonico e/o la sensazione di ambienza

 

Mighty Quinn
21 minuti fa, extermination ha scritto:

peccato poi che quella rif, per ragioni note,

Questo è un punto molto interessante 

Secondo me quasi nessuno sa il perché accade questo o comunque quasi nessuno ha le idee chiare al riguardo 

Io stesso ho trovato spiegazioni diverse e non sempre convincenti 

Ovviamente possono contribuire diversi fenomeni 

Tu che te ne intendi sul serio, se ti va, potresti rispiegarci il motivo, almeno secondo te, principale?

Perché preferiamo una risposta calante?

Per come registrano?

Per come risponde la nostra stanza?

Le nostre orecchie?

Grazie 

Se vuole può interloquire anche sua maestà @ilmisuratore...non ci dispiacerebbe...

Se ritenete che sia troppo OT, se ne può fare un thread a parte 

ilmisuratore
12 minuti fa, Mighty Quinn ha scritto:

Questo è un punto molto interessante 

Secondo me quasi nessuno sa il perché accade questo o comunque quasi nessuno ha le idee chiare al riguardo 

Io stesso ho trovato spiegazioni diverse e non sempre convincenti 

Ovviamente possono contribuire diversi fenomeni 

Tu che te ne intendi sul serio, se ti va, potresti rispiegarci il motivo, almeno secondo te, principale?

Perché preferiamo una risposta calante?

Per come registrano?

Per come risponde la nostra stanza?

Le nostre orecchie?

Grazie 

Se vuole può interloquire anche sua maestà @ilmisuratore...non ci dispiacerebbe...

Se ritenete che sia troppo OT, se ne può fare un thread a parte 

Ne abbiamo discusso con dovizia in un vecchio 3D 

Quando si osserva una risposta "calante" a terzi di ottava si esclude (con il banco di filtri applicato) la parte dell'inviluppo spettrale dei picchi sui quali l'udito è sensibile...e con cui ricostruisce nel cervello la sensazione di equilibrio tonale

In generale se si osserva una risposta flat a terzi di ottava e si elimina lo smoothing...ne viene fuori uno sforamento con picchi che oltrepassano l'ampiezza regolare distribuita nella parte di spettro dal medio-alto a salire

La questione assume anche una certa delicatezza riguardo la correttezza della misurazione alle alte frequenze... spesso misurata in modo fuorviante...e peggio ancora "se" con microfonazione mal calibrata

  • Melius 1
  • Thanks 1
Mighty Quinn
17 minuti fa, ilmisuratore ha scritto:

Quando si osserva una risposta "calante" a terzi di ottava si esclude (con il banco di filtri applicato) la parte dell'inviluppo spettrale dei picchi sui quali l'udito è sensibile...e con cui ricostruisce nel cervello la sensazione di equilibrio tonale

In generale se si osserva una risposta flat a terzi di ottava e si elimina lo smoothing...ne viene fuori uno sforamento con picchi che oltrepassano l'ampiezza regolare distribuita nella parte di spettro dal medio-alto a salire

Grazie!!

È proprio così infatti, 

Spero la leggano tutti 

Tante volte leggiamo da audiofili navigati cose tipo "la risposta in frequenza piatta suona da schifo quindi il DSP fa schifo"

Cioè l' ignoranza di tale fenomeno viene usata come prova che il dsp peggiora il suono 

Spiegazione eccellente e molto comprensibile la tua 

Ma non credere che la si trovi spesso in giro 

Ho letto le cose più diverse a tale riguardo 

(se per caso ritrovi il thread me lo invii, anche in privato...solo se ti è facile trovarlo comunque no problem)

 

 

Crea un account o accedi per lasciare un commento

Devi essere un membro per lasciare un commento

Crea un account

Iscriviti per un nuovo account nella nostra community. È facile!

Registra un nuovo account

Accedi

Sei già registrato? Accedi qui.

Accedi Ora



  • Badge Recenti

    • Membro Attivo
      simo15
      simo15 ha ottenuto un badge
      Membro Attivo
    • Ottimi Contenuti
      Paky33
      Paky33 ha ottenuto un badge
      Ottimi Contenuti
    • Membro Attivo
      Oscar
      Oscar ha ottenuto un badge
      Membro Attivo
    • Badge del Vinile Verde
      jackreacher
      jackreacher ha ottenuto un badge
      Badge del Vinile Verde
    • Contenuti Utili
      Sognatore
      Sognatore ha ottenuto un badge
      Contenuti Utili
  • Notizie

  • KnuKonceptz

    Kord Ultra Flex speakers cable

    Rame OFC 294 fili 12 AWG

    61dl-KzQaFL._SL1200_.jpg

  • 28 Diffusori significativi degli anni ‘70

    1. 1. Quali tra questi diffusori degli anni '70 ritieni più significativi?


      • Acoustic Research AR-10π
      • Acoustic Research AR-9
      • Allison One
      • B&W DM6
      • BBC LS3/5a
      • Dahlquist DQ10
      • Decibel 360 Modus
      • ESS AM-T 1B
      • IMF TLS 80
      • JBL L300 Summit
      • Jensen Model 15 Serenata
      • KEF 105 Reference
      • Linn Isobarik
      • Magnepan Magneplanar SMG
      • Magnepan Magneplanar Tympani 1
      • Philips RH545 MFB Studio
      • RCF BR40 & BR55
      • Snell Type A
      • Technics SB-10000
      • Yamaha NS-1000M

×
×
  • Crea Nuovo...